USEN&U-NEXT GROUPの株式会社USEN(本社:東京都品川区、代表取締役社長:貴舩 靖彦、以下、当社)と、慶應義塾大学 文学部 心理学専攻の川畑 秀明教授は、店舗BGMと消費者属性の「適合性」に関する共同研究の結果を、「第21回 日本感性工学会 春季大会」にて3月18日(水)に発表したことをお知らせします。あわせて本日、当社が運営する「音空間デザインラボ」でも研究内容を発表しております。

本研究では、消費者の所得や価値観といった属性と、音環境(無音・ジャズ・テクノ)の「適合性」が、商品の評価額(推定価格)にどのように影響を及ぼすかを検証しました。その結果、高所得層においては「静寂」が、人生における意味や自己実現を重視する層(幸福追求層)においては「ジャズ」が商品の評価額を高める要因となることがわかりました。
一方で、20〜30代女性の実験参加者に対しては、「テクノ」が直感的な好意を引き出すなど、ターゲット属性によって商品への向き合い方や、商品価値を向上させる音環境が異なるメカニズムを明らかにしました。
研究の背景と目的
ECの普及により実店舗の役割が「利便性」から「体験価値」へと再定義されるなか、五感を通じた空間演出が消費者の価値判断に及ぼす影響を科学的に解明することは、店舗経営において極めて重要な課題となっています。
特に、空間の世界観を瞬時に決定づけるBGMについては、これまで「アップテンポなら回転率が上がる」「スローテンポなら滞在時間が延び、購買点数が増える」といった、全来店客に一律の効果を期待する画一的な通説に基づいて選曲されてきました。しかし、消費者の価値観が多様化する現代において、こうしたアプローチだけでは、店舗がターゲットとする層に適切な価値を伝え、ブランドとの結びつきを強めることが困難になりつつあります。
そこで本研究では、消費者の属性や内面的な特性と、音環境の「適合性」に着目した検証実験を実施しました。単に音の有無を問うのではなく、ターゲットに「適合」した音が、いかに商品の推定価値(評価額)を向上させるかという、より精緻なサウンド・マーケティング手法の構築を目的としています。
研究概要
生活雑貨30品目を陳列した模擬店舗にて、音環境(無音・ジャズ・テクノ)が消費者の価値判断や深層心理に及ぼす影響を検証しました。本研究では、各商品の「評価額(いくら位の価値がある商品に見えるかの推定価格)」などの定量調査に、商品価値を判断する際の心理メカニズムを可視化するための事後のインタビュー解析を組み合わせた「混合研究法」を採用し、多角的な分析を行いました。

主な研究結果
1. BGMと消費者属性の「適合性」が商品価値判断を左右することを実証
・全体平均では、BGMの種類のみによる商品評価額への有意な主効果は見られない。
・消費者の属性や価値観と音環境を掛け合わせて分析した結果、両者の「適合性」こそが商品の評価額(推定価格)を左右する要因である。
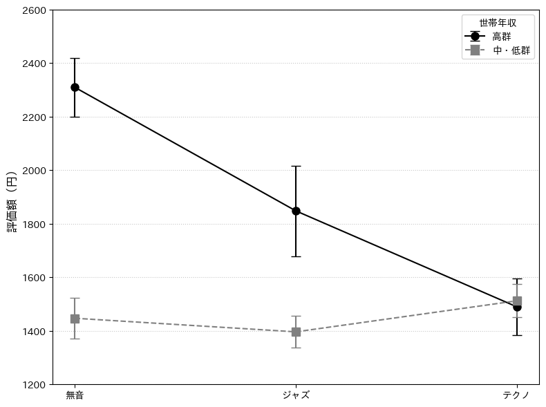
2. 高所得層における「静寂」による評価の向上 *図1
・世帯年収1,000万円以上の層は、他の条件と比較して「無音(静寂)」条件下において、商品の評価額が有意に高くなる傾向。
・インタビュー分析からは、高所得層は静寂を単なる「無」ではなく、「しっとりとした穏やかな空間」や「洗練された雰囲気」としてポジティブに受容。
・落ち着いた心理状態が、余計な情報の介入を排し、商品そのものの価値を落ち着いて見極める環境として作用した可能性を示唆。
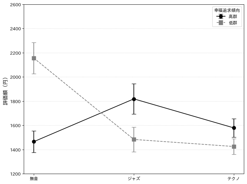
3. 幸福追求の価値観と「ジャズ」の適合 *図2
・人生の意味や自己実現を重視する価値観(幸福追求:Eudaimonia型)を持つ層は、「ジャズ」条件下において商品の評価額が有意に高まる。
・発話データの分析では、店舗空間の雰囲気と調和したジャズの持つ複雑性や文化的な情緒が、消費者の知的好奇心を刺激している様子が確認できる。
・単に商品を眺めるだけでなく、その背景を想像したり、新しい価値を発見したりしようとする「能動的な探索行動」が促進され、結果として商品への高い評価に繋がったと考えられる。
4. 「テクノ」による直感的な好意と感性的な受容の促進
・20〜30代女性の実験参加者において、「テクノ」条件下では商品の評価額(推定価格)に統計的な有意差は見られなかったものの、インタビュー分析では、他の条件とは異なる独自の心理的反応を確認。
・商品の「手触り」や「色」といった質感への肯定的な言及に加え、「可愛い」「好き」といった直感的な好意を示す発話が顕著に現れる傾向。
・「テクノ」の覚醒度を高める音環境が、消費者の感性に基づく評価を活性化させ、商品の持つ直感的な魅力を受容しやすい心理状態(心理モード)をサポートしている可能性が示唆された。

図1:世帯年収別の音環境による商品 評価額の比較

図2:幸福追求傾向(Eudaimonia型)別の音環境による商品評価額の比較
まとめ:店舗空間における「音」の役割と「適合性」の重要性
本研究のデプスインタビュー解析の結果、無音条件下においては「他者の視線や気配が気になり、緊張してしまう」「静かすぎて居心地が悪い」「(店舗に)入りづらい」といった、対人的な心理的緊張や心理的距離を感じる回答が多く寄せられました。
このことから、BGMには単に空間を彩るだけでなく、店舗特有の緊張感を緩和(マスキング)し、消費者が心理的な負担を感じることなく商品と向き合える環境を整える「心理的基盤」としての重要な機能があることが再確認されました。
今回の検証結果が示す通り、店舗における音の役割は画一的なものではなく、ターゲットの所得や価値観といった属性との「適合性」に依存しています。この「適合性」を考慮した戦略的な音空間デザインを追求することで、商品が持つ本来の魅力を最大限に引き出し、実店舗ならではの豊かな体験価値を提供することが可能になると考えられます。
慶應義塾大学 川畑 秀明教授コメント
今回の共同研究は、これまで経験則や通説で語られることが多かった店舗BGMの役割を、消費者の心理的特性や価値観との「適合性」という観点から学術的に整理した点に大きな意義があります。特に、定量的な評価額の測定に加え、デプスインタビューを通じて「無音時の心理的緊張」や「属性ごとの評価プロセスの違い」といった深層心理を可視化できたことは、心理学の知見を実際の商業空間へ社会実装する上での重要なステップといえます。本研究で得られたエビデンスが、消費者の感性を満たす豊かな体験の創出、そして実店舗ならではの新しい価値提供の指針となることを期待しています。
情報サイト「音空間デザインラボ」とは
当社は1961年の創業当初より、飲食店や美容室、オフィスなど多くのお客様に、BGMをはじめとした音による空間づくりのためのサービスや設備環境を提供してまいりました。
当社では「音による空間プロデュースを通じて、関わるすべての人に心地よい環境を提供する」という想いのもと、大学や専門家と共同で音の持つ効果を科学的に探究しています。その知見をわかりやすく発信している情報サイトが「音空間デザインラボ」です。
本情報サイトでは、長年のBGMサービスで培った知見と学術的な研究結果を交え、商業空間やオフィスなどにおける音の活用法を解説しています。本件のより詳細な研究レポートも、以下のページにて公開中です。
「音空間デザインラボ」:https://usen.com/portal/otodesign/
本研究コラム:https://usen.com/portal/otodesign/study/study_46_price.html
会社概要
当社は、BGMサービスのリーディングカンパニーとして成長を遂げてきました。その安定的な収益基盤を柱に、デジタル技術を活用したエンターテインメント事業の推進、業務効率化ソリューションの提供(店舗BGM、アプリ、インフラ、POSレジ、配膳ロボット、保証など)を行っています。私たちは【音楽配信の会社】から、お客様の課題に応える【総合ソリューション企業】への挑戦を続けています。
会社名:株式会社USEN
所在地:東京都品川区上大崎三丁目1番1号 目黒セントラルスクエア
代表者:代表取締役社長 貴舩 靖彦
事業内容:店舗DX事業、エンターテインメント事業、音楽配信事業、メディア事業、ロボティクス事業
URL:https://usen.com
お問い合わせ
【報道関係者からのお問い合わせ先】
株式会社U-NEXT HOLDINGS 広報部
【サービスに関するお問い合わせ先】
株式会社USEN
TEL:0120-117-440